
ΑΝΑΔΗΜΟΣΙΕΥΣΗ ΑΠΟ ΤΙΣ 22/12/2022 γιατί κανείς από τους εμφολιασμένους δεν έχει καταλάβει το μέγεθος της βίας επάνω τους και η επιστήμη του mRNA έγινε μόνο για ένα σκοπό την δολοφονία και τον εκφυλισμό της ανθρωπότητας. Έχετε να κάνετε με δολοφόνους πιθηκογιατρούς που γεμίζουν τις τσέπες τους για να σας στείλουν για ΑΝΑΚΥΚΛΩΣΗ.
Βοηθάει καθόλου το mRNA;
Η μελέτη της κλινικής του Κλίβελαντ καταδεικνύει την αναποτελεσματικότητα, ακόμη και την επιβλαβή επίδραση, των εμβολιασμών mRNA.
Στη μελέτη «Αποτελεσματικότητα του Δισθενούς Εμβολίου για τη Νόσο του Κορωνοϊού 2019 (COVID-19), η κλινική του Κλίβελαντ δεν μπόρεσε να αποδείξει τυχόν θετικά αποτελέσματα του εμβολίου. Αντίθετα: όσο πιο συχνά εμβολιαζόταν κάποιος τόσο πιο ευαίσθητος γινόταν στον κορωνοϊό. Αυτό εγείρει αμφιβολίες για μια (θετική) αποτελεσματικότητα των πειραμάτων εμβολιασμού mRNA.
Η περίληψη αποκαλύπτει:
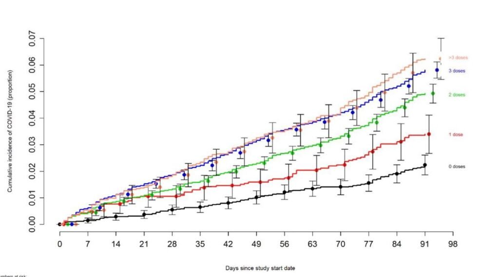
Ο κίνδυνος του COVID-19 αυξήθηκε με την πάροδο του χρόνου από την τελευταία ασθένεια COVID-19 στο παρελθόν και με τον αριθμό των δόσεων εμβολίων που είχαν λάβει προηγουμένως.
Αποτελεσματικότητα του δισθενούς εμβολίου κατά της νόσου του Coronavirus 2019 (COVID-19).
Όσο πιο συχνά εμβολιάζονταν τα άτομα που μελετήθηκαν στη μελέτη, τόσο πιο πιθανό ήταν να προσβληθούν ξανά από τον Covid. Η μελέτη δεν μπορούσε να κάνει δήλωση για «σοβαρά μαθήματα» επειδή δεν υπήρχαν σοβαρά μαθήματα κατά τη διάρκεια της περιόδου σπουδών. Τέτοιες «ακραίες» δηλώσεις δεν πρέπει φυσικά να μένουν χωρίς προοπτική. Σύμφωνα με πληροφορίες, η αποτελεσματικότητα του εμβολίου ήταν μόνο 30% «τη στιγμή που κυκλοφορούσαν τα στελέχη του ιού έναντι των οποίων υποτίθεται ότι δρα το εμβόλιο». Ωστόσο, αυτό δεν είναι μια μεγάλη επιτυχία, καθώς υποσχέθηκε αποτελεσματικότητα έως και 100 τοις εκατό έναντι όλων των στελεχών του ιού.
Η μελέτη περιελάμβανε ένα μεγάλο δείγμα ατόμων, 51.011 υπαλλήλους της Cleveland Clinic. Αυτό είναι περισσότεροι άνθρωποι από ό,τι στην υποτιθέμενη κλινική δοκιμή που οδήγησε στην παγκόσμια έγκριση των εμβολίων mRNA. Γνωρίζουμε τώρα ότι έγιναν πολλά μεθοδολογικά λάθη και ότι υπήρξε ακόμη και εσκεμμένη απάτη και καταστολή των αποτελεσμάτων.
Το γράφημα, το οποίο ετοίμασαν οι συγγραφείς της μελέτης με βάση τα ευρήματά τους, δείχνει πώς κάθε πρόσθετη δόση εμβολίου αύξανε σημαντικά τον κίνδυνο προσβολής από τη νόσο Covid. Φυσικά, δεν μπορούμε να υποθέσουμε ότι τα αποτελέσματα της μελέτης θα δημοσιευτούν στα μέσα ενημέρωσης των χωρών του ΠΟΥ που χρηματοδοτούνται από την κυβέρνηση.

Οι συγγραφείς τόνισαν ότι αυτή δεν είναι η πρώτη και μοναδική μελέτη που καταλήγει σε πανομοιότυπα αποτελέσματα. Ο κίνδυνος για τα μη εμβολιασμένα ή λιγότερο εμβολιασμένα άτομα θα ήταν χαμηλότερος από αυτόν για τα συνήθως εμβολιασμένα άτομα.
Ωστόσο, η πλειονότητα των ατόμων σε αυτή τη μελέτη ήταν γενικά νέοι άνθρωποι και όλοι μπορούσαν να λάβουν τουλάχιστον 3 δόσεις του εμβολίου στην αρχή της μελέτης, στις οποίες τους δόθηκε κάθε ευκαιρία. Επομένως, όσοι έλαβαν λιγότερες από 3 δόσεις (>45% των ατόμων στη μελέτη) δεν ήταν εκείνοι που δεν ήταν κατάλληλοι για το εμβόλιο, αλλά εκείνοι που επέλεξαν να μην ακολουθήσουν τις συστάσεις του CDC 19 εμβολιασμού και ήταν λογικό να υποθέσουμε ότι αυτά τα άτομα εμφάνιζαν περισσότερο ριψοκίνδυνη συμπεριφορά.
Αποτελεσματικότητα του δισθενούς εμβολίου κατά της νόσου του Coronavirus 2019 (COVID-19).
Παρόλα αυτά, ο κίνδυνος να προσβληθούν από τον COVID-19 ήταν χαμηλότερος από εκείνους που είχαν κάνει προηγουμένως μεγαλύτερο αριθμό δόσεων εμβολίων. Αυτή δεν είναι η μόνη μελέτη που ανακάλυψε πιθανή σύνδεση με προηγούμενες δόσεις εμβολίου και υψηλότερο κίνδυνο για COVID-19. Μια μεγάλη μελέτη διαπίστωσε ότι όσοι είχαν μολυνθεί με την παραλλαγή όμικρον αφού προηγουμένως είχαν λάβει τρεις δόσεις του εμβολίου είχαν υψηλότερο κίνδυνο επαναμόλυνση από εκείνους που μολύνθηκαν μετά τη λήψη της παραλλαγής όμικρον που είχαν λάβει προηγουμένως δύο δόσεις του εμβολίου. Μια άλλη μελέτη διαπίστωσε ότι η λήψη δύο ή τριών δόσεων ενός εμβολίου mRNA μετά από προηγούμενη ασθένεια COVID-19 συσχετίστηκε με υψηλότερο κίνδυνο επαναμόλυνσης από τη λήψη μιας μόνο δόσης.
Views: 0